近期,《Applied Energy》先后在线发表了题为“A review on proton exchange membrane multi-stack fuel cell systems:architecture, performance, and power management[1]”和“Scenario-oriented stacks allocation optimization for multi-stack fuel cell systems[2]”的研究论文,这两篇论文均由偷拍视频
周苏教授团队完成,且第一作者均为周苏教授。
发展和应用多堆燃料电池系统(MFCS)是提高燃料电池系统输出功率的必然途径。周苏教授在文献[1]中详细综述了MFCS的相关的研发活动和进展,包括MFCS的应用和设计原理、子系统结构(流体、电气和热)、功率管理策略 (PMS)、水热管理策略、降级工作模式、寿命、效率和氢耗,指出MFCS相对于单堆燃料电池系统(SFCS)所具有的优势,并分析了MFCS 的应用前景和面临的挑战。


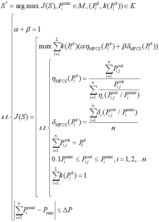
周苏教授在文献[2]中提出了一种以效率和寿命为综合优化指标,以各电堆功率输出范围、各电堆效率和寿命特性等为约束边界的MFCS电堆优化分配的数学模型(图1)。利用功率分布直方图,将C-WTVC工况转化为数学上具有统计意义的应用场景。在特定的应用场景中,通过求解MFCS电堆优化分配数学模型,可以得到该场景下最优的电堆分配方案(图2)。
MFCS的研究对于理解如何提高燃料电池系统的输出功率以满足大功率应用场景的需求,以及如何将大功率应用场景中的需求功率分配到各个已有的成熟电堆中高效输出具有重要意义,可以为未来新型大功率清洁动力系统的设计提供参考。

图1 电堆优化分配数学模型

图 2 (a)三个堆、(b)四个堆和(c)五个堆MFCS在不同寿命计算方式、不同电堆分配方案下的全局最优解示例
文献详情:
[1] Su Zhou , Lei Fan, Gang Zhang, Jianhua Gao, Yanda Lu, Peng Zhao, Chaokai Wen, Lin Shi, Zhe Hu, A review on proton exchange membrane multi-stack fuel cell systems: architecture, performance, and power management, Applied Energy 310 (2022)118555.
doi://doi.org/10.1016/j.apenergy. 2022.118555.
[2] Su Zhou, Gang Zhang, Lei Fan, Jianhua Gao, Fenglai Pei,, Multi-stack fuel cell system stacks allocation optimization based on genetic algorithms,applied energy2022)118328.
doi://10.4271/2022-01-0689.